This website works better with JavaScript.
欢迎来到马士兵代码仓库
Sign In
msb-public
/
ML-For-Beginners
mirror of
https://github.com/microsoft/ML-For-Beginners.git
Watch
1
Star
0
Code
Issues
Projects
Releases
Wiki
Activity
You can not select more than 25 topics
Topics must start with a letter or number, can include dashes ('-') and can be up to 35 characters long.
98efc2ba03
main
copilot/fix-71909546-a940-4e0f-a408-e6e2cae01d9f
copilot/fix-241c1305-6ad2-4101-a0fa-ab5293fc44ff
copilot/fix-e6e9bea9-2b5d-4a7f-ac57-4e8a4ee21bf3
amynic-patch-1
WirelessLife-patch-2
leestott-patch-2
leestott-patch-1
WirelessLife-patch-1
carlotta94c-patch-1
handling_seaborn_warning
Branches
Tags
${ item.name }
Create tag
${ searchTerm }
Create branch
${ searchTerm }
from '98efc2ba03'
${ noResults }
ML-For-Beginners
/
2-Regression
/
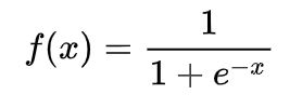
4-Logistic
/
images
/
logistic.png
8.5 KiB
Raw
History